Lightspeed Home Resources Results Burdge Research Group

proto-Lightspeed

Design

Optical System

proto-Lightspeed uses commercial off-the-shelf (COTS) re-imaging optics to de-magnify the telescope's f/11 focal plane. A Canon EF 400mm f/4 lens re-collimates the light, while a Canon RF 100–300mm f/2.8 zoom lens provides adjustable magnification. This yields pixel scales between 0.017″–0.050″/pix, allowing switching between conventional imaging and speckle interferometry modes. proto-Lightspeed images a 1′ diameter field at up to 200 Hz (full field) or windowed fields at higher rates—up to 6600 Hz for a 1.6″ × 1′ strip.

CAD model of proto-Lightspeed optical components
Computer-aided design model of the optical components of proto-Lightspeed. Reflected light from the telescope's tertiary mirror enters the instrument from the right.

Filters

A seven-position filter wheel hosts Sloan u′, g′, r′, i′, z′ photometric filters and an OIII narrow-band filter (500.7 nm, 9 nm FWHM) for speckle interferometry. An additional Hα filter (653.3 nm, 1.1 nm FWHM) can be inserted into the collimated beam for narrow-band imaging. Note: the COTS re-imaging optics have poor throughput in u′ and z′, so these filters should generally not be used with proto-Lightspeed.

Filter transmission and throughput curves
a) Transmission curves for filters available in proto-Lightspeed (dashed lines), the quantum efficiency of the ORCA-Quest 2 camera (crosses and solid line), and atmospheric transmission at unit airmass (dotted line). b) Total throughput for each bandpass; u′ and z′ curves are upper limits.

Mechanical and Electrical Design

The optical components are mounted on two solid aluminum breadboards secured to a rotator plate for direct mounting to the Nasmyth East port. A cooling system channels cold air across electronic components and supplies fresh air to the camera's thermoelectric coolers, maintaining the sensor at its nominal operating temperature of −20°C. The instrument extends approximately 1 m from the port with a total mass of approximately 160 kg.

Overview of proto-Lightspeed components
Overview of proto-Lightspeed components. a) proto-Lightspeed mounted at the NasE port of the Clay telescope. b) Interior view showing the dual breadboards, optical components, and airflow baffles. c) The ORCA-Quest 2 camera with Birger RF lens controller. d) The control computer in the Clay equipment room.

Detector

proto-Lightspeed employs the Hamamatsu ORCA-Quest 2 camera, featuring the HWK4123 CMOS sensor with 4096 × 2304 pixels (4.6 µm pixel size). This sensor achieves deep sub-electron read noise of 0.29 e⁻ RMS in ultra-quiet mode, approaching the photon-counting regime. The detector operates at −20°C with dark current of just 0.0072 e⁻/pix/s and peak quantum efficiency of ~85% at 460 nm. The full well capacity is approximately 7000 e⁻.

The camera offers two readout modes with different noise and speed characteristics:

Readout Mode Read Noise (e⁻ RMS) Maximum Frame Rate (Hz)
Full Sensor
2304 × 4096 pix
1′ Full Field
1200 × 1200 pix
1.6″ × 1′
32 × 1200 pix
Absolute Max
4 × 4096 pix
Standard 0.41 120 200 6600 19800
Ultra-quiet 0.29 25 48 1400 4200

Detector Nonlinearity Calibration

The ORCA-Quest 2 sensor exhibits nonlinear response at low signal levels due to incomplete charge transfer within each pixel. A per-pixel calibration corrects this nonlinearity across the full dynamic range. At very low signal levels, approximately 50% of photoelectrons are trapped; this efficiency improves asymptotically to nearly 100% at higher signal levels.

Nonlinearity and internal QE
Nonlinearity and internal QE of the ORCA-Quest 2 camera. a) Raw sensor response showing nonlinearity at low signals. b) After applying per-pixel calibration, response is linear. c) Signal-dependent detection efficiency showing incomplete charge transfer at low signals.

Performance

Measured Throughput

Zero points and throughput values measured during commissioning (referenced to SDSS):

FilterZero Point (AB mag)Throughput
g′27.6 ± 0.119 ± 2%
r′27.2 ± 0.121 ± 2%
i′26.0 ± 0.17 ± 1%

Image Quality

proto-Lightspeed achieves seeing-limited observations across its full field in g′, r′, and i′. No measurable image distortion was found across the field. Lucky imaging can further improve image quality—stacking the best 7% of 200 ms frames improved PSF FWHM from 0.51″ to 0.37″.

Quadruply lensed quasar
Quadruply lensed quasar DES J0420-4037. a) Single 10s proto-Lightspeed exposure in white light under 0.51″ seeing. b) Lucky imaging stack of best 7% of frames improves PSF to 0.37″. c) HST comparison image.

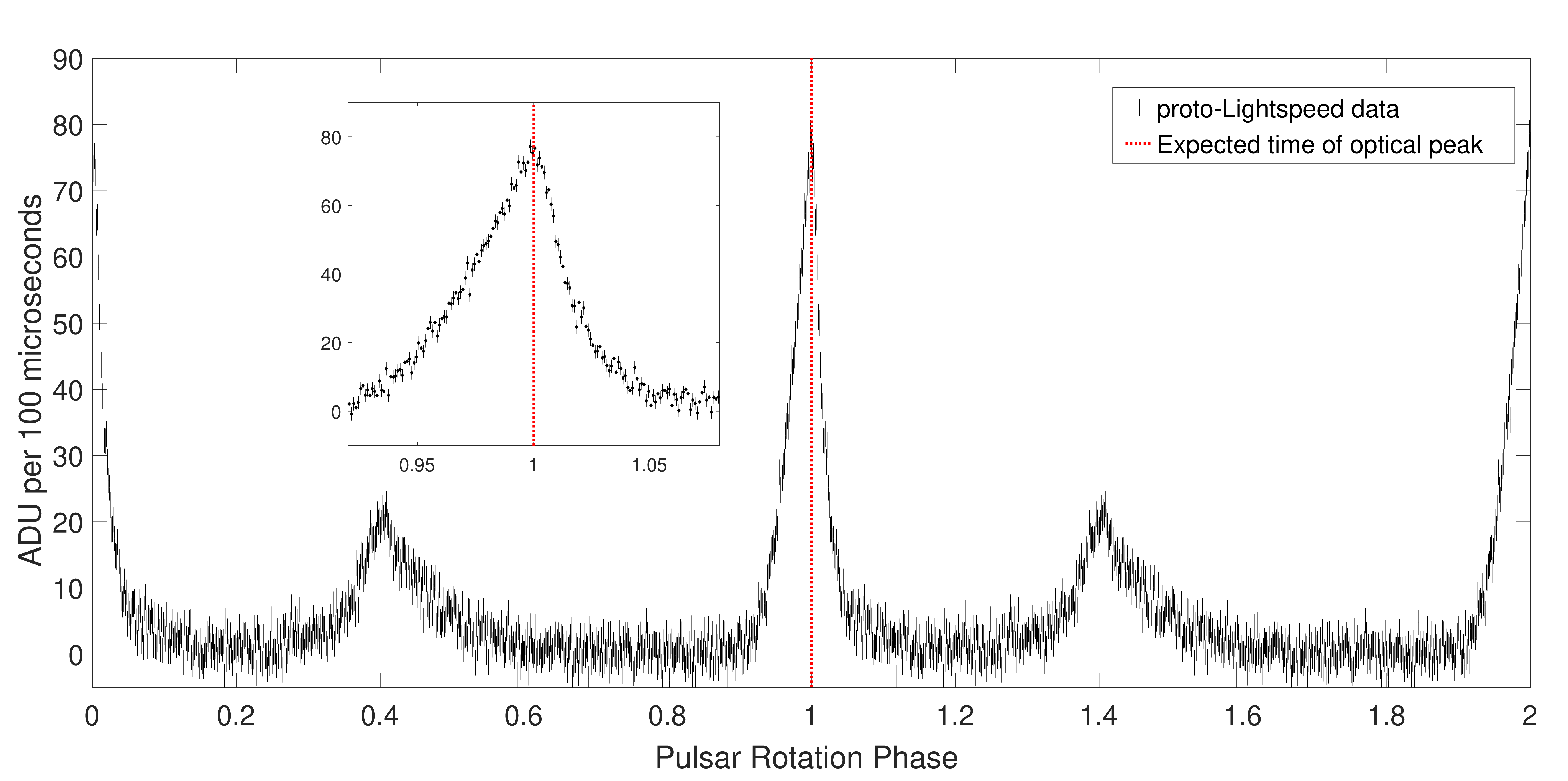
Timing System and Accuracy

Absolute timing is achieved using a GPS-synchronized Meinberg TCR180PEX card that triggers exposures via a pulse-per-second signal and time-tags readout completion. This system delivers absolute timing accuracy better than 30 µs, verified on-sky using observations of the Crab pulsar. The optical pulse maximum was measured to occur within 5 ± 7 µs of the expected phase (using the Jodrell Bank radio ephemeris and the known ~255 µs optical-radio offset).

Crab pulsar light curve
Optical light curve of the Crab pulsar obtained with proto-Lightspeed over 300 s integration, sampled at 9259 Hz and phase-folded. The red dotted line marks the expected optical pulse phase, confirming timing accuracy.

Photometric Precision

Photometric precision was verified using 500 images of globular cluster M30 with 30 ms exposures. The measured noise-to-signal ratio agrees well with theoretical predictions from the exposure time calculator.

Noise-to-signal ratio
Noise-to-signal ratio measured for sources in M30 (black points) compared to theoretical predictions from the exposure time calculator (red curve), showing excellent agreement. The dash-dotted line shows the theoretical noise assuming a perfectly linear sensor.