Lightspeed Home Resources Results Burdge Research Group

Lightspeed: The Facility Instrument

Design of Lightspeed

Lightspeed will be a simultaneous five-channel imager intended to be a facility instrument on the Magellan Clay telescope.

Lightspeed optical design
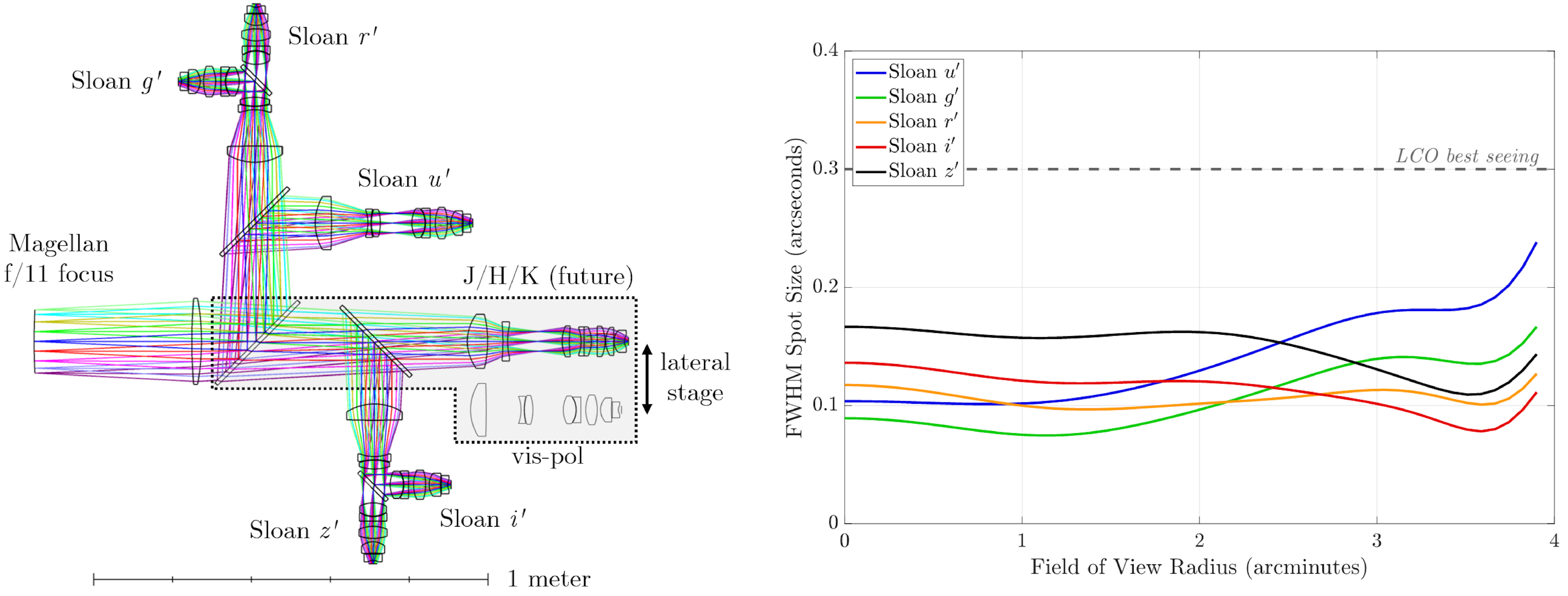
Left: Optical design of the full Lightspeed instrument, allowing for either five-channel u′, g′, r′, i′, z′ simultaneous imaging (with the potential for an additional infrared arm) or a single white light channel with polarimetric capabilities. Right: Designed image quality of Lightspeed's five optical channels.

Optical Design

Lightspeed will use custom re-imaging optics with dichroic beam splitters to feed five channels simultaneously: u′, g′, r′, i′, and z′. Each channel will host its own ORCA-Quest 2 camera. Infrared light will pass through the dichroics, leaving the possibility for an additional photon-counting infrared arm using an HgCdTe linear-mode APD. An alternate "VIS-POL" channel will enable polarimetry and white-light imaging.

Field of View & Plate Scale

Lightspeed will deliver a 7′ × 4′ field of view—16 times larger than proto-Lightspeed—with a plate scale of 0.1″/pix. This larger plate scale will critically sample the PSF in good conditions, further reducing effective read noise for point sources. The larger field will enable studies of extended sources and provide an order-of-magnitude increase in sensitivity to serendipitous TNO occultations.

Predicted Performance

The custom optics will significantly improve throughput compared to proto-Lightspeed. Predicted zero points:

FilterZero Point (AB mag)
u′25.9
g′28.3
r′27.7
i′27.3
z′26.4